Volume Formulas

Lesson icon
Introduction
This page contains the volume formulas for a cube, rectangular solid, cylinder ,sphere, cone and pyramid. Examples are given to show you how to use the formulas.

Cube

Quick notes icon
Formula
cube with sides a
volume of a cube formula, V=r^3
The lesson on the volume of a cube will explain the basics needed. Here's a summary:

All the sides (edges) of a cube have the same length. If each side has the length a, the formula for the volume V will be:
Worksheets icon
Example
Given a cube where the length of each side (edge) is 3cm. Find the volume of this cube.
Using the formula for the volume of a cube

Rectangular Solid

Quick notes icon
rectangular solid with width w, length l and height h
Formula
The lesson on How to Find the Volume will cover the basics needed to find the volume of a rectangular solid. Here's a short summary:

A rectangular solid has the width w, length l and height h. The volume V for this solid is the multiplication of the width, height and length together. This gives:
formula for the volume of a rectangular solid
Worksheets icon
Example
Given a rectangular solid with the width 2ft, length 3ft, and height 5ft. Find its volume.
Using the volume formula, V=wlh

Cylinder

Quick notes icon
a cylinder with the radius r and height h
Formula
The lesson on the volume of a cylinder will explain the basic ideas needed to use this formula. Here's a short summary on it:

For a cylinder that has the radius r and height h, its volume will be: 
Volume for a cylinder, V = pi*r^2*h

Where π is constant that is approximately equals to 3.14.
Worksheets icon
Example
Given a cylinder with the radius 3cm and height 5cm. Find its volume.
using the formula for the volume of a cylinder
Take π = 3.14.

Sphere

Quick notes icon
Formula
a sphere with the radius r
The lesson of the volume of a sphere will show the basic ideas on using this formula. Here's a summary:

For a sphere with the radius r, the volume V  is given as:
volume of a sphere, V = 4/3*pi*r^3

Where π is constant that is approximately equals to 3.14.
Worksheets icon
Example
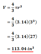
Given a sphere with the radius 3 inches. Find the volume of this sphere.
Take π = 3.14.
Using the formula for the volume of a sphere

Cone

Quick notes icon
cone with the base radius r and height h
Formula
The lesson on the volume of a cone will show you the basics needed to use the formula. Note that, the volume of a cone is just 1/3 of the volume of a cylinder.

Consider a cone with the base radius r and height h. The volume V for this solid is simply:

volume of a cone, V = (1/3)*pi*r^2*h

Where π is constant that is approximately equals to 3.14.
Worksheets icon
Example
Given a cone with the base radius 2cm and height 3ft. Find its volume.
Using the volume formula of a cone, V=(1/3)*pi*r^2*h

Pyramid

Quick notes icon
a pyramid with the width w, length l and height h.
Formula
The lesson on the volume of a pyramid will explain the basic needed to use this formula. Note that, the volume of a pyramid is actually 1/3 of the volume of a rectangular solid. 

Now, for a pyramid with the width w, length l and height h, the volume, V of the pyramid will be:  
Volume for a pyramid, V = (1/3)wlh

Worksheets icon
Example
Given a pyramid with the width 3ft, length 4ft and height 5ft. Find its volume.
using the formula for the volume of a pyramid, (1/3)wlh.
That is all for the volume formulas of basic 3D solids.